Jan . 2025
When converting dBm to watts, let's first address a question: Why use dBm to represent power in wireless modules when watts are already used to indicate power?
The reason dBm is used in wireless modules to represent power is that dBm provides a more precise way to express low-power signals and aligns better with other parameters in wireless communication systems, such as gain and noise. Specifically, the reasons are as follows:
Logarithmic scale for small power variations: Wireless signal power is usually very small, and the logarithmic unit of dBm makes it easier to manage and compare small changes in power.
Compatibility with other dB-related parameters: Parameters like gain, noise, and bandwidth in wireless communication are often expressed in dB. Using dBm allows for easier direct calculation and comparison with these parameters.
Intuitive representation of power levels: dBm allows power increases and decreases to be represented with positive and negative numbers, making it easier to quickly assess signal strength and system performance.
Explanation of dBm to Watt Conversion
For technical professionals, understanding the conversion relationship between dBm and watts (W) is crucial, especially when designing wireless communication systems. dBm is a logarithmic unit relative to a 1 milliwatt (mW) reference, while watts (W) is a common power unit. The conversion formula between the two is as follows:
Converting dBm to Watts:
To convert from dBm to watts, the formula is:

For example, if you have a power value of 30 dBm, the conversion to watts would be:

Understanding this conversion relationship can help engineers analyze the power output of wireless devices more accurately, thus improving design efficiency and performance optimization.
From the above, we know that 30 dBm = 1 W. To help engineers quickly convert power values, we can use 30 dBm = 1 W as a base and apply two conversion principles to easily estimate most power values:
Every +3 dB, power doubles; every -3 dB, power halves
This rule is based on the properties of logarithms.
For example:
33 dBm = 30 dBm + 3 dBm = 1 W × 2 = 2 W
27 dBm = 30 dBm - 3 dBm = 1 W × 1/2 = 0.5 W
For every +10 dB, the power increases by a factor of 10; for every -10 dB, the power decreases by a factor of 10.
For example:
40 dBm = 30 dBm + 10 dBm = 1 W × 10 = 10 W
20 dBm = 30 dBm - 10 dBm = 1 W × 0.1 = 0.1 W
Combination conversion
Multiple dB changes can be combined for conversion through simple addition and subtraction:
44 dBm = 30 dBm + 10 dBm + 10 dBm - 3 dBm - 3 dBm = 1 W × 10 × 10 × 1/2 × 1/2 = 25 W
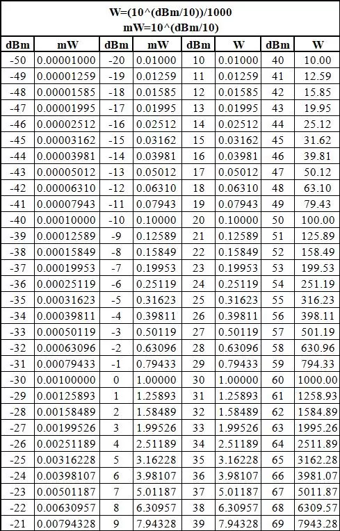
Based on the above method, most power values can be converted to watts. Below is a conversion table for commonly used dBm and watts (W) to help you quickly look up and compare power values :

In summary, dBm, as a representation of power, has significant advantages in wireless modules, especially for accurately measuring low-power signals and simplifying the calculation of wireless communication parameters. Through logarithmic conversion, dBm can effectively handle small power variations, making the design, debugging, and optimization of wireless systems more efficient. While watts (W) are commonly used in high-power applications, dBm is more widely and conveniently used in wireless communication. Understanding the conversion relationship between the two helps technicians better master power calculations and applications, ultimately enhancing the performance of wireless devices and systems.

+86-755-23080616
sales@nicerf.com
Website: https://www.nicerf.com/
Address: 309-315, 3/F, Bldg A, Hongdu business building, Zone 43, Baoan Dist, Shenzhen, China
Privacy Policy
· Privacy Policy
There is currently no content available
Email:sales@nicerf.com
Tel:+86-755-23080616